COD trong nước thải là gì? Cách xử lý để giảm COD trong nước thải

Nước thải đặc biệt là nước thải sinh hoạt luôn là vấn đề thu hút nhiều sự quan tâm của người dân, chính quyền địa phương,…. Nhưng không mấy ai biết về COD trong nước thải là gì? Cũng như những phương pháp xử lý để giảm COD trong từ nước thải hiệu quả. Chúng tôi xin gửi đến bạn thông tin xoay quanh về COD trong từ nước thải qua bài viết này nhé!

COD trong nước thải là gì?

COD (viết tắt từ tiếng Anh: Chemical Oxygen Demand), thường được biết đến với cách gọi là nhu cầu oxy hóa học: Là lượng oxy có trong Kali đicromat (K2Cr2O7) đã dùng, để thực hiện oxy hóa các hợp chất hóa học trong nước. Nó có cả chất vô cơ và chất hữu cơ. COD là thành phần có ý nghĩa quan trọng đối với nước thải.

COD (Chemical Oxygen Demand - nhu cầu oxy hóa học)

COD (Chemical Oxygen Demand – nhu cầu oxy hóa học)

Chỉ tiêu COD tồn tại trong nước thải, đặc biệt là trong nước thải sinh hoạt, gây ra từ nguồn thải chứa các hợp chất hữu cơ. Như vậy, khi COD cao thì nhu cầu tiêu thụ oxy trong nước cao. Chính vì thế, hàm lượng COD hiện hữu trong nước thải, mà cụ thể là hàm lượng COD trong nước thải sinh hoạt tăng lên làm cho lượng oxy bị cạn kiệt. Điều này làm cho các sinh vật, các hệ sinh thái nơi xả nước thải bị ảnh hưởng nghiêm trọng.

Phương pháp xác định COD 

Để xác định được hàm lượng COD – nhu cầu oxy hóa học, các chuyên ta đã sử dụng pemanganat kali (KMnO4). Tính hiệu quả của pemanganat kali trong việc oxy hóa các hợp chất hữu cơ bị dao động, được các chuyên gia đánh giá khá lớn.

Chính nhận định đánh giá trên, các chuyên gia cho rằng nó không thể nào đạt hiệu quả trong việc oxy hóa tất cả những chất hữu cơ tồn tại trong nước. Chính vì thế, trong việc xác định chỉ số COD thì pemanganat kali (KMnO4) trở thành một tác nhân tương đối kém.

Bởi hạn chế mà pemanganat kali mang lại, ngày nay, các tác nhân oxy hóa như: xeri sulfat (Ce(SO4)2 ), kali iodat ( KIO3 ) hay kali dicromat (K2Cr2O7 ), đã được sử dụng để xác định COD. Đáng chú ý nhất là kali dicromat (K2Cr2O7), tác nhân này cho hiệu quả nhất: tương đối rẻ, dễ dàng tinh chế, có khả năng gần như oxy hóa hoàn toàn các chất hữu cơ.

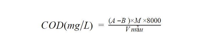
Cách tính COD trong nước thải 

Dù là sử dụng phương pháp nào để xác định hàm lượng COD, thì cũng cùng một cách tính. Cách tính COD trong nước thải trong công thức như sau:

Công thức tính COD trong nước thải

Công thức tính COD trong nước thải

Trong đó:

A: Là thể tích của FAS đã sử dụng trong mẫu rỗng

B: Là thể tích của FAS trong mẫu gốc

M: Nồng độ của FAS dùng để chuẩn độ

Vmẫu: Thể tích mẫu đem phân tích

Các phương pháp xử lý cod trong nước thải

Như đã đề cập ở trên, vấn đề về nước thải, đặc biệt là nước thải sinh hoạt luôn gây sự chú ý quan tâm của xã hội. Chính vì thế, cách xử lý COD trong nước thải cũng được chú trọng. Sau đây là các phương pháp xử lý để giảm COD trong nước thải sinh hoạt:

Dùng hóa chất oxy hóa 

Phương pháp này phù hợp với nước thải ít hữu cơ và giàu chất sinh học phân hủy. Hóa chất được sử dụng để giảm COD gồm có: Clo, Ozone, Hydrogen peroxide.

Xử lý nước thải bằng phương pháp oxy hóa ozone

Xử lý nước thải bằng phương pháp oxy hóa ozone

Đáng chú ý đến là phương pháp oxy hóa ozone. Ngày nay, người ta còn kết hợp sử dụng ozone với các công nghệ xử lý tiên tiến khác, để kịp thời xử lý nhanh chóng.

Sử dụng vi sinh

Cách sử dụng có hiệu quả với COD gốc hữu cơ. Sử dụng vi sinh để giảm COD gồm có hai vi sinh chủ yếu: Vi sinh hiếu khí và vi sinh kỵ khí.

  • Sử dụng vi sinh hiếu khí: Những vi sinh này dùng chất hữu cơ có trong nước thải làm thức ăn rồi phân bào và tạo ra các vi sinh vật mới. Đối với nước thải có hàm lượng dưới 300 mg/L, thì thường sử dụng phương pháp này.
  • Sử dụng vi sinh kỵ khí: Phương pháp sử dụng vi sinh nay, ngược lại với phương pháp sử dụng vi sinh hiếu sinh.

Phương pháp keo tụ tạo bông

Hóa chất keo tụ được sử dụng gồm có: phèn nhôm, sắt hoặc PAC. Các chất này nhằm tạo ra một khối bùn lớn, bằng cách liên kết bùn lại với nhau. Để xử lý COD theo phương pháp này thì phải đảm bảo được hai yếu tố sau: Xử lý bùn và hóa chất xử lý. Phương pháp này ngày nay cũng ít được sử dụng, vì hiệu quả mà nó mang lại không cao.

Phương pháp trung hòa

Đây là phương pháp làm thay đổi nồng độ pH, để đưa nước thải về ngưỡng trung tính từ 6,5 – 8,5. Phương pháp này sử dụng các tác nhân trung hòa, các tác nhân tạo nên nguyên lý cơ bản cho việc trung hòa. Tùy theo hàm lượng COD tồn tại trong nước thải mà sử dụng các tác nhân khác nhau. Cụ thể như sau:

  • Nước thải chứa kiềm: Muối axit, H2SO4, HNO3, HCl.
  • Nước thải nhiễm kim loại nặng: NaOH, CaOH, CaO, Na2CO3.
  • Nước thải chứa axit: Vôi, CaCO3, KOH, NaOH, Na2CO3, NH4OH, MgCO3.

Phương pháp trung hòa COD trong nước thải

Phương pháp trung hòa COD trong nước thải

Sử dụng phản ứng Fenton

Phản ứng Fenton dùng chất oxy hóa nhằm mục đích phá hủy các chất gây ô nhiễm, mà theo đó Hydro peroxit phản ứng với sắt (II) sunfat sẽ tạo ra một gốc tự do là hydroxyl. Gốc tự do này, có khả năng phá hủy các chất hữu cơ. Phản ứng này nếu xảy ra hoàn toàn thì, những chất ở dạng hữu cơ sẽ chuyển thành hợp chất bao gồm: Cacbonic và nước.

Công nghệ Fenton trong xử lý COD trong nước thải

Công nghệ Fenton trong xử lý COD trong nước thải

Quá trình sử dụng phản ứng Fenton gồm 4 giai đoạn:

  • Điều chỉnh pH phù hợp.
  • Phản ứng oxi hóa.
  • Trung hòa và keo tụ.
  • Quá trình lắng.

Sử dụng công nghệ AOP

AOP có tên đầy đủ là Advanced Oxidation Processes. Đây là một công nghệ hiện đại hiện nay trong việc xử lý nước thải. Công nghệ này được ứng dụng để xử lý triệt để chất hữu cơ khó phân hủy trong nước thải. Nó được áp dụng dựa vào các quá trình oxi hóa nâng cao, tức là phản ứng Fenton khi có mặt của ozone. Công nghệ AOP khi sử dụng để giảm COD tồn tại trong nước thải, nhằm phân hủy những chất độc hại nguy hiểm thành những chất không còn độc hại nguy hiểm.

Việc sử dụng công nghệ này, làm tiền đề để sau này sử dụng phân hủy nhờ vi sinh vật hay các phương pháp truyền thống khác. Sự kết hợp giữa các phương pháp được đề cập đến, giúp tiết kiệm chi phí.

Quá trình sử dụng công nghệ AOP trong xử lý nước thải có nhiều ưu điểm đáng lưu ý. Những lưu ý đó là:

  • Thời gian xử lý chỉ mất vài giờ hoặc thậm chí là vài phút đã xử lý xong việc giảm COD trong nước thải.
  • Việc bổ sung hóa chất không đòi hỏi nhiều.
  • Công nghệ này không tốn nhiều diện tích.

Lọc và hấp thụ với than hoạt tính

Sử dụng than hoạt tính để xử lý nước thải thường được dùng ở bước cuối hoặc ngay sau quá trình xử lý sơ cấp. Chính vì thế, nước thải khi áp dụng để lọc và hấp thụ bằng than hoạt tính sẽ đảm bảo an toàn hơn. Bên cạnh đó cho thấy việc sử dụng lọc và hấp thụ trực tiếp than hoạt tính để xử lý nước thải thì hiệu quả sẽ không được cao.

Than hoạt tính sử dụng trong xử lý nước thải

Than hoạt tính sử dụng trong xử lý nước thải

Hy vọng với những thông tin trên mà chúng tôi cung cấp, phần nào đã giúp bạn hiểu được khái niệm COD trong nước thải, cũng như phương pháp xử lý COD có trong nước thải. Hãy liên hệ với chúng tôi để được tư vấn kỹ hơn nhé!

Để lại một bình luận

Email của bạn sẽ không được hiển thị công khai. Các trường bắt buộc được đánh dấu *